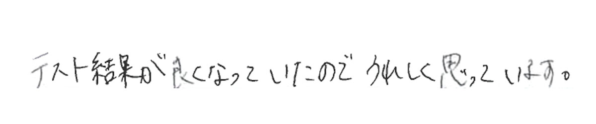
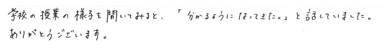
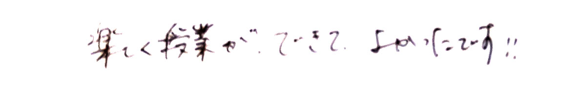
家庭教師の口コミ(保護者編-36)

お問い合わせ・資料請求

今ならお問い合わせした人全員に
限定特典をプレゼント

またLINEでも資料請求・お問い合わせは
受け付けておりますので
お気軽にご相談ください!

こちらのページも読まれています